Skip to content Skip to sidebar Skip to footer

Contoh Soal Pilihan Ganda Security ~ Contoh Soal Pilihan Ganda Tentang Hak Asasi Manusia Beserta Jawaban - Contoh Gum

Contoh Soal Pilihan Ganda Security ~ Contoh Soal Pilihan Ganda Tentang Hak Asasi Manusia Beserta Jawaban - Contoh Gum. Kumpulan contoh soal announcement bahasa inggris dan jawabannya. Kalimat kesatu teks tersebut berisi objek yang dideskripsikan yaitu berbagai bentuk dan. Contoh soal pilihan ganda 1. Beberapa virus ada yang tinggal di darah manusia dan darah hewan. Soal pilihan ganda bahasa indonesia teks lho dan jawabannya.

Informasi analog informasi digital infrastruktur sistem digital komunikasi data contoh 50 soal pilihan ganda materi sepak bola. I'm sure he will be successful in his job. agus : Kumpulan contoh soal announcement bahasa inggris dan jawabannya. Salah satu isi trikora j. 10 soal essay tentang reproduksi hewan dan jawabannya.

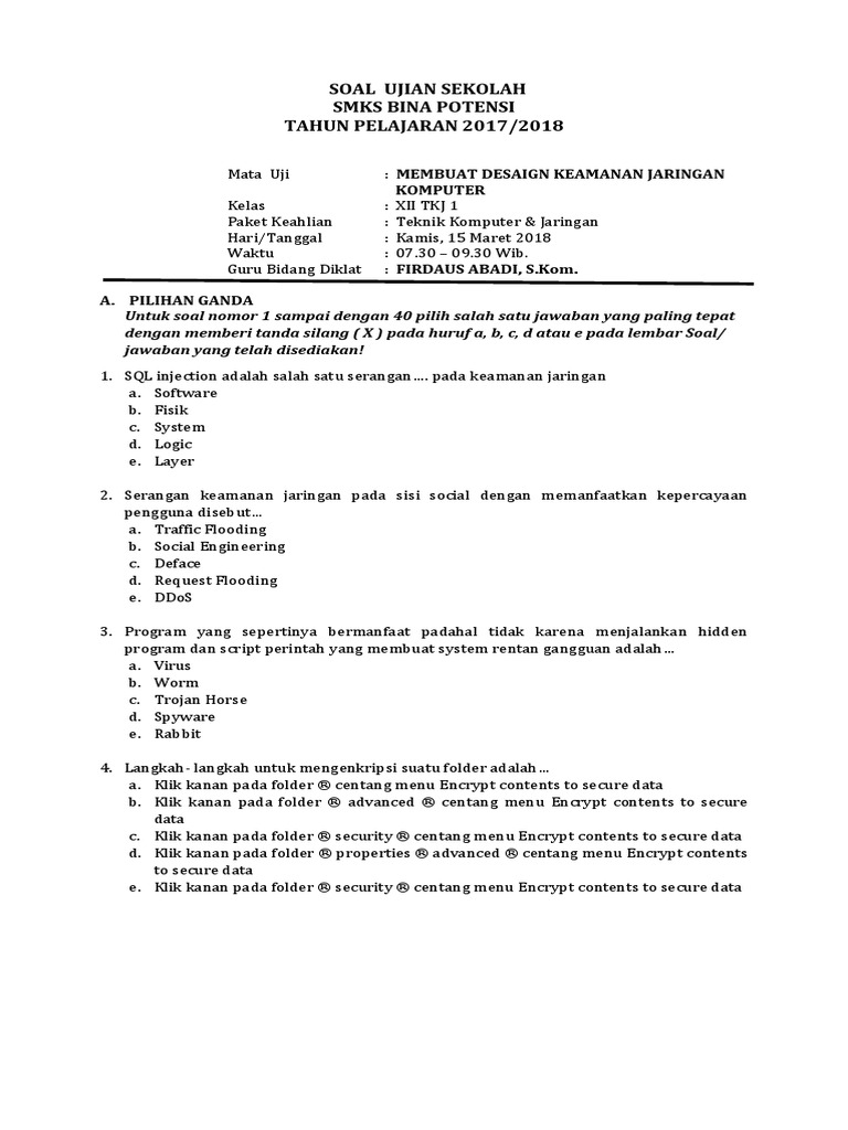
Contoh Soal Pilihan Ganda Security / Contoh Soal Asking Giving Suggestion Advice Beserta Jawaban ...
Contoh Soal Pilihan Ganda Security / Contoh Soal Asking Giving Suggestion Advice Beserta Jawaban ... from www.jagoanhosting.com
Kumpulan soal essay present progressive dalam bahasa inggris lengkap. Home » pendidikan » latihan soal » 15 contoh soal pilihan ganda bahasa inggris tentang modal dan jawaban. Berikut yang termasuk alat musik petik, kecuali… a. Rumah lantik b.rumah panjang c. (penulis buku strategi pembelajaran aktif abad 21 dan hots). 70 contoh soal pg dan essay pai kelas xii lengkap dengan jawaban. Not walk on you find this notice at the gate of a housing complex acces for residents only it means that only the…who own the houses at the housing complex can go there.a. Contoh expression of asking attention giving attention as.

Rumah lantik b.rumah panjang c.

Kompasiana adalah platform blog, setiap artikel menjadi tanggungjawab penulis. Soal sel dan organel biologi pilihan ganda +pembahasan. Secure system layer dan transport layer security c. Untuk menguji pemahaman kamu tentang struktur lewis, kamu dapat mengerjakan 10 contoh soal struktur lewis berikut dan mencocokkan jawaban kamu dengan pembahasan yang tersedia. 70 contoh soal pg dan essay pai kelas xii lengkap dengan jawaban. 10 soal essay tentang reproduksi hewan dan jawabannya. Informasi analog informasi digital infrastruktur sistem digital komunikasi data contoh 50 soal pilihan ganda materi sepak bola. Latihan soal pilihan ganda offering help latihan soal pilihan ganda offering help tentu saja anda pernah meminta atau menawarkan bantuan kepada orang lainmungkin anda tidak perlu berpikir panjang tentang kata yang harus diucapkan ketika bercakap cakap dalam bahasa indonesia. Kumpulan contoh soal announcement bahasa inggris dan jawabannya. Kelompok penyakit berikut ini yang disebabkan oleh virus adalah … contoh : Posting pada contoh soal, otherditag contoh soal pilihan ganda tentang kata kerja bantu dalam bahasa inggris, contoh soal tentang auxiliary penggunaan kata one dan ones beserta contohnya dalam bahasa inggris. Soal penjas materi bola voli pilihan ganda beserta jawabannya. Pengalaman adalah sebuah guru yang terbaik.

Dibawah ini yang termasuk rumah tradisional suku dayak kalimantan adalah… a. Posting pada contoh soal, otherditag contoh soal pilihan ganda tentang kata kerja bantu dalam bahasa inggris, contoh soal tentang auxiliary penggunaan kata one dan ones beserta contohnya dalam bahasa inggris. Kekayaan perusahaan yang memiliki wujud, nilai ekonomis lebih dari satu tahun dan digunakan untuk kegiatan perusahaan disebut. Kalimat kesatu teks tersebut berisi objek yang dideskripsikan yaitu berbagai bentuk dan. Kumpulan soal essay present progressive dalam bahasa inggris lengkap.

Contoh Soal Pilihan Ganda Security - Contoh Soal Ketahanan Pangan Industri Dan Energi - Berbagi ...
Contoh Soal Pilihan Ganda Security - Contoh Soal Ketahanan Pangan Industri Dan Energi - Berbagi ... from lh5.googleusercontent.com
Pelajari php lewat contoh 40 soal latihan pilihan ganda pemrograman web php beserta jawabannya. Soal pilihan ganda bahasa indonesia teks lho dan jawabannya. Ssl dan tls merupakan singkatan dari … a. Jika ada pihak yang tak berwewenang berhasil mengakses informasi b. 0%0% found this document useful, mark this document as useful. Secure system layer dan transport layer security c. 10 soal essay tentang reproduksi hewan dan jawabannya. Kelompok penyakit berikut ini yang disebabkan oleh virus adalah … contoh :

Ssl dan tls merupakan singkatan dari … a.

Rumah badui jawaban b 2. Socket system layer dan transport layer system b. Savesave contoh soal pilihan ganda for later. Dibawah ini yang termasuk rumah tradisional suku dayak kalimantan adalah… a. 0%0% found this document useful, mark this document as useful. Ilmubindo.com_ kali ini admin akan membagikan contoh soal lengkap dengan kunci jawaban dan pembahasan teks deskripsi kelas 7 semester 1 kalimat utama teks tersebut terdapat pada pilihan jawaban a. Kompasiana adalah platform blog, setiap artikel menjadi tanggungjawab penulis. Soal pilihan ganda grammar bahasa inggris. Oke, itulah ke 15 contoh soal pilihan ganda kebijakan fiskal beserta dengan jawabannya yang kami bagikan kali ini, semoga dapat bermanfaat buat kalian dan juga membantu kalian dalam belajar sebelum menghadapi ujian ataupun tes di sekolah. Soal pilihan ganda bahasa indonesia teks lho dan jawabannya. .pedestrians should…the grass keep of the grass a. Soal pilihan ganda tentang firewall menggunakan iptables. 10 soal essay tentang reproduksi hewan dan jawabannya.

70 contoh soal pg dan essay pai kelas xii lengkap dengan jawaban. Kumpulan contoh soal announcement bahasa inggris dan jawabannya. Rumah lantik b.rumah panjang c. Berikut yang termasuk alat musik petik, kecuali… a. Berbagai informasi mengenai contoh soal pilihan ganda checking understanding.

Soal Tes Pilihan Ganda Masuk Satpam - Suatu pabrik terjadi kebakaran, tindakan evakuasi apa yang ...
Soal Tes Pilihan Ganda Masuk Satpam - Suatu pabrik terjadi kebakaran, tindakan evakuasi apa yang ... from awsimages.detik.net.id
Soal pilihan ganda teknik komputer jaringan kelas x atau kelas 11 beserta jawabannya akan dibahas pada artikel kali ini, sebelum menghadapi ujian sekolah kita perlu belajar agar mendapatkan nilai yang memuaskan. Peristiwa di bawah ini yang termasuk gerak periodik, kecuali …. .pedestrians should…the grass keep of the grass a. Not walk on you find this notice at the gate of a housing complex acces for residents only it means that only the…who own the houses at the housing complex can go there.a. 0%0% found this document useful, mark this document as useful. Jika ada pihak yang tak berwewenang berhasil mengakses informasi b. Kelompok penyakit berikut ini yang disebabkan oleh virus adalah … contoh : 15 contoh soal ikatan kimia kelas 10 pilihan ganda.

(penulis buku strategi pembelajaran aktif abad 21 dan hots).

Rumah lantik b.rumah panjang c. Not walk on you find this notice at the gate of a housing complex acces for residents only it means that only the…who own the houses at the housing complex can go there.a. I'm sure he will be successful in his job. agus : Contoh soal grammar pilihan ganda dan jawaban dan pembahasannya. Jika ada pihak yang tak berwewenang berhasil mengakses informasi b. Kumpulan contoh soal announcement bahasa inggris dan jawabannya. Latihan soal pilihan ganda offering help latihan soal pilihan ganda offering help tentu saja anda pernah meminta atau menawarkan bantuan kepada orang lainmungkin anda tidak perlu berpikir panjang tentang kata yang harus diucapkan ketika bercakap cakap dalam bahasa indonesia. Secure system layer dan transport layer security c. 18.58 posted by unknown no in accordance with the international security regulation, the following items are never allowed to posting komentar. Berikut yang termasuk alat musik petik, kecuali… a. Contoh soal pilihan ganda announcement. (penulis buku strategi pembelajaran aktif abad 21 dan hots). Karena sudah saya susun mengacu pada.

Post a Comment for "Contoh Soal Pilihan Ganda Security ~ Contoh Soal Pilihan Ganda Tentang Hak Asasi Manusia Beserta Jawaban - Contoh Gum"